(单词翻译:单击)
一、选择题:本大题共12小题,每小题5分.在每小题给出的四个选项中,只有一项是符合题目要求的.
(1)设集合
则
个数为
(A)3 (B)4 (C)5 (D)6

(2)
(A)
(B)
(C)
(D)

(3)已知向量
(A)
(B)
(C)
(D)

(4)已知函数
(A)
(B)
(C)
(D)
【答案】B
【解析】由题意可知
,则
。故选B
(5)函数
的反函数
(A)
(B)
(C)
(D)
【答案】A
【解析】由题意知
, 因此
,故选A
(6)已知数列
满足
(A)
(B)
(C)
(D)

(7)
(A)
(B)
(C)
(D)

(8)椭圆
斜率的取值范围是
(A)
(B)
(C)
(D)

(9)若函数
(A)
(B)
(C)
(D)

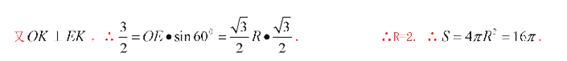
(10)已知正四棱锥
的正弦值等于
(A)
(B)
(C)
(D)
【】A
【解析】如下图,连接AC交BD于点O,连接
,过C作
于H


(11)已知抛物线

(A)
(B)
(C)
(D)
【】D
【解析】由题意知抛物线C的焦点坐标为,则直线AB的方程为y=K(x-2),

∴ 
所以:
④
由①②③④解得K=2,故选D
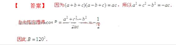
(12)已知函数
(A)
(B)
(C)
(D)

二、填空题:本大题共4小题,每小题5分.
(13)已知
___________.

(14)
个人排成一行,其中甲、乙两人不相邻的不同排法共有___________种.(用数字作答)
【】480
【解析】 先排除甲、乙外的4人,方法有
再将甲、乙插入这4人形成的5个间隔中,有
的排法,因此甲、乙不相邻的不同排法有
=480
(15)记不等式组
所表示的平面区域为
若直线
___________.


(16)已知圆
和圆
是球
的大圆和小圆,其公共弦长等于球
的半径,
则球
的表面积等于___________.


三、解答题:解答应写出文字说明、证明过程或演算步骤.
17.(本小题满分10分)
等差数列
的前
项和为
的通项式.

18.(本小题满分12分)
设
(I)求
(II)若


19.(本小题满分12分)
如图,四棱锥
都是等边三角形.

(I)证明:
(II)求二面角



20.(本小题满分12分)
甲、乙、丙三人进行羽毛球练习赛,其中两人比赛,另一人当裁判,每局比赛结束时,负的一方在下一局当裁判,设各局中双方获胜的概率均为
各局比赛的结果都相互独立,第
局甲当裁判.
(I)求第
局甲当裁判的概率;
(II)
表示前
局中乙当裁判的次数,求
的数学期望.


21.(本小题满分12分)
已知双曲线
离心率为
直线
(I)求
;
(II)
证明:


22.(本小题满分12分)
已知函数
(I)若
;
(II)设数列

