(单词翻译:单击)
81确认18是40的百分之几 应该是 20% (做一半看到这么个简单的题都傻了,以为落到低分区了,结果不是,所以麻烦提醒大家一下不要慌)可爱的狗主 =]
8/40=1/5=20%
82残11/11+1/12+....1/20 然后选择>1/2, =1/3,4/1 忘了。。
跟前面的题目合并
83确认1给个长方形游泳池,分成三部分,面积1:2:3。问中间那个长方形的面积 DS
1)给Y长度
2)知道XY
选项1:知道Y的程度,不知道长方形的面积,单独无法求解
选项2:X*Y=知道长方形的面积 单独可以求解
选B
84确认1暑假班有三项活动,游泳,打水球和射箭?,说打水球的都参加游泳,既射箭又游泳的有9个,打水球的有16个,三样都做的有4个。问玩两样的有几个。
即射箭又游泳的是9个,三样都做的是4,both 射箭和游泳的,没有玩水球的=9-4=5 个
both 游泳和水球,没有玩射箭的=16-4=12
5+12=17
答案等于17
85确认1两个海豚,一公一母游泳。公的10mile每小时,母的15M。公的比母的先游2M,问半个小时后两个相距多少距离。
简单的追逐问题:
(10*1/2+2)-15*1/2= 0.5miles
86确认1公园里一个长椅长宽高都给出来了(英寸),把每个边都包上材料,材料成本8美金一英尺,问一共用了多少钱。
包边,那就是求周长问题了。
长X 宽Y
2(X+Y) *8=16(X+Y)
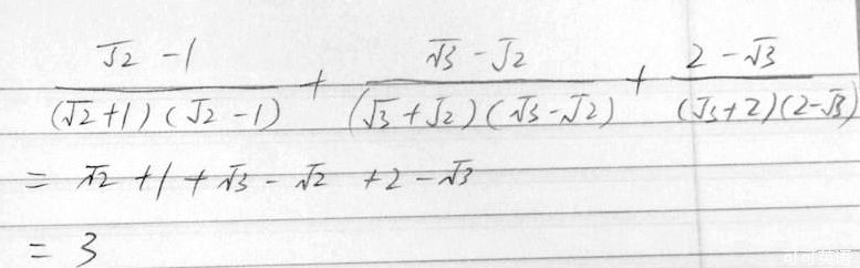
87待确认11/(根号2+1)+1/(根号2+根号3)+1/(根号3+2)=?(数字狗主不太确定,但就是这种形式,狗主只想到干算,因为并没有发现捷径...)
88确认1说是有个垂直于地面的信号塔,有个锚定点附着在塔上并距离地面120feet,另一个锚定点在地面上距离塔底部90feet,问这两点的直线距离(其实就是个勾股定理,看懂题意画出题就很简单)
X^2=120^2+90^2
X = 150
89确认12的n次方是(根号下8的阶乘加上根号下9的阶乘)的平方的质因子,求n的最大值是多少(答案有6,9,11,12)
群里小伙伴给力的演算过程,供大家参考
11
90残狗 定义一种运算A@B=(2a+b)^2+(a+ab) ^2 (此算式确认,因为当时怎么也没算出来)。问下列哪个是对的
1- A@B大于零(还是是偶数)这个好判断
2- A@B。。。
3- A@B是否大于A(还是小于A)
选项就是类似:A只有1对,B1和2对。。。
感觉数字有点问题。稍等等补充
