GMAT数学机经

  • 英语听力
  • 英语口语
  • 广播
  • VOA慢
  • VOA常
  • BBC
  • CNN
  • 经济学人
  • 双语阅读
  • 影视英语
  • 英文歌曲
  • 单词
  • 语法
  • 四级
  • 六级
  • 翻译
  • 考研
  • BEC
  • 专四
  • 专八
  • 职称
  • SAT
  • 托福
  • 雅思
  • GRE
  • 少儿
  • 小学
  • 中考
  • 高考
  • 查词

位置:首页 > GMAT > GMAT机经 > GMAT数学机经 > 正文
2015年10月GMAT数学机经(10)
日期:2015-11-11 16:27

(单词翻译:单击)

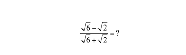
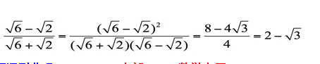
44、PS:

2015年10月GMAT数学机经(10)

解题思路:
 [2015年10月GMAT数学机经(10)]

分享到
相关文章
  • 2015年6月GMAT数学机经14
  • 2014年2月17日GMAT数学机经整理
  • 2015年1月GMAT数学机经21
  • 2014年1月GMAT数学机经: 补充16

官方APP |官方微信 | 查词

All Rights Reserved Kekenet.com

意见反馈请联系QQ:1790999184