(单词翻译:单击)
71. DS一门课考试,有三人没参加,第一次计算平均分时没考虑这三个人,后来这三人补考了,问算上这三人总体平均分是多少
1. 第一次没计算三人的情况,平均分为83分
2. 这三个人的平均分是80分
构筑答案 我的答案是E
解题思路:
72. DS一共400个数,问他们的和是否大于0.1
1. 他们每个都小于0.0002
2. 他们中最大的50个数字的和为0.01
构筑答案 答案 D
解题思路:
73. 还有一个数列题,挺烦的,要一个一个算,a1=64, a2= 66, a3=67, 然后接下来的数字an= a(n-3) + 8 ,给了abcde问哪个数是这个数列里的,露珠记得好像是A 787还是什么800多少。。(记不清了)?,反正露珠的计算方法就是一个一个试。。。。还挺费时间的TUT,智商都还给小学了。
74.已知过(r, -s)求斜率是否为负?
一个条件貌似是过(-s,r),另一个条件是这条线过(u,t),u
解题思路:
条件1,K=(r+s)/(-s-r)=-1
条件2,K= (t+s)/(u-r), t+s < 0, u-r<0, K>o,能判断出K不为负,也是sufficient
选D
75. st<0?
(1) s^2t^3<0
(2) |s+t|<|s|+|t|
解题思路:
条件一:t<0,不知道s
条件二:s,t异号,可以,选B
76. DS, 点(m,n)在第几象限,(1) (1-m, 1-n)在第二象限,(2), m+n=2
解题思路:
条件一:1-m<0 m>1 1-n>0 n<1 不能
条件二:不能
加起来也不能 选E
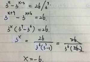
77.PS, 3^x-3^(x-3)=26/3^9,求X,(三的X次幂减去3的X-3次幂等于26除以3的9次幂,求X),X=-6
解题思路:
78.PS,一个公司原价是D,打折X%出售,然后在折后的价格上涨X%,涨后的价格比原价少5元。求X
解题思路
79. DS,是一个茎叶图,说的是警察会在一段时间内记录下这条路上的车的车速,茎叶图上是所有车速高过90公里/小时的车的车速,问是否能够得出车速小于90公里/小时的车的数量. (1) 车速低于90公里的车数量要小于大于等于90公里的车的数量,(2), 91是这一段时间记录的车速的中位数。
构筑答案 答案选B。
感觉目前缺少茎叶图
80.PS 两个矩形,A的宽与B的宽相比是1:2,A的宽与A的长相比是2:3,B的宽与B的长相比是2:5,求矩形A与矩形B的面积的比。
V2.
两矩形,边长分别是a、b和c、d,a/c=b/d=3/2,求面积比
解题思路:
