(单词翻译:单击)
61. N能否是一个数的平方?
1. 4n是一个数的平方
2. N^3 是一个数的平方
解:条件一,说明 √(4n)=2√n=一个正整数,所以n为一个数的平方,充分
条件二,说明n^1.5是一个正整数,那必须n为一个数的平方,充分
答案选择D
62. 学生参加了三种课程,A课程20人,B30人,C40人。问只参加了两种课程的有几人?
1.ABC都参加的有w人(w已知)
2.ABC都不参加的有z人(z已知)
解:

63.

解:残哦。。。待补充
64.

65. 两个圆,diameter是1,圆心距离是4,问用这两个圆带一根传送带(不知道怎么描述)
考古:如图,两个wheel,中间那条是两个wheel圆心的连线长为4,wheel的半径都是1,问传输带的长度。简单。。

解:目测就是考古这个题目哈!!按照考古给的条件做咯,传输带的长度就是一个圆的周长加上两条圆心线的长度,2π+8。大家注意题目给的是直径还是半径哈!
66. V1.n是不是65的倍数?(或者是65是不是n的factor,意思都一样)
1)n是650的倍数
2)n是65的因子(不确定)
解:条件一,一定是啦,充分
条件二,反例,n=5,5不是65的倍数哦~不充分
答案选择A
v2. n是不是17的factor(数字不记得了)
1)正好相反,比如问的是17是不是n的因子,他说的是n是17的因子
2)n是85的因子
解:条件一,既然说正好相反。。也就是17是n的因子,不充分
条件二,反例,n=5,不充分
条件一+条件二,反例,n=85,不充分
答案选择E
67. 连续的奇数数列,一共有5个数,中位数是-3,问数列里最小的那个数是多少?
解:数列为:-7,-5,-3,-1,1,最小为-7.
68.如图
,一个长方形,上面接1段弧,已知长方形的长是3,宽是2. 弧所对的圆心角在长方形里面,度数为90.求面积
解:

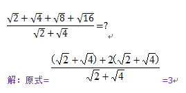
69.![]()
解:算出来是16-4√5。
70. 四个数,5又7/8 percent, 5又5/6percent, 4又2/3percent, 4又3/5percent. 问最大的和最小的相差多少(答案要注意percent都是很小的小数)
ps:确定是两个5又几分之几,两个4又几分之几,但是后面的分数有可能不那么准确,有7/8,6/5,3/4,2/3之类的
解:5又7/8percent- 4又3/5percentpercent=51/40 percent.。。估计狗主的数据记错了哈,目测简单狗,注意计算
